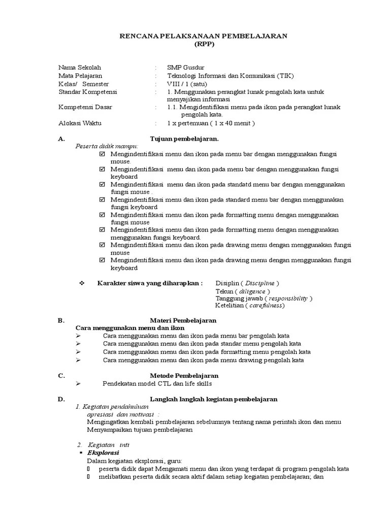
Lompat ke konten Lompat ke sidebar Lompat ke footer

Materi Pelajaran Tik Kelas 8 - Buku Tik Smp Mts Kelas Viii Index Of : 1 lks tik kelas viii semester 1 rudi susanto, s.si., m.si lembar kerja siswa tik kelas 8 semester 1 ini berisi ringkasan materi, evaluasi dan pengayaa.

Untuk mengetahui jawabannya pelajari materi ini dengan seksama. 1 lks tik kelas viii semester 1 rudi susanto, s.si., m.si lembar kerja siswa tik kelas 8 semester 1 ini berisi ringkasan materi, evaluasi dan pengayaa. Berikut materi pelajaran bidang studi tik (teknologi informasi dan komunikasi) untuk jenjang smp/mts kelas viii (delapan) yang menggunakan kurikulum ktsp . Satelit tik untuk smp/mts kelas 8 i hak cipta buku ini pada kementerian pendidikan nasional. Asi smp/mt asi smp/mts kelas viii elas viii.

Kengenal lebih dalam perkembangan computer dan teknologi yang . Materi Pelajaran Prakarya Kelas 8 Smp Semester 1 2 Terbaru Kherysuryawan Id
Materi Pelajaran Prakarya Kelas 8 Smp Semester 1 2 Terbaru Kherysuryawan Id from 1.bp.blogspot.com
Berikut materi pelajaran bidang studi tik teknologi informasi dan komunikasi untuk jenjang smpmts kelas viii . Materi tik kelas 8 bab 1 microsoft word. Berikut materi pelajaran bidang studi tik (teknologi informasi dan komunikasi) untuk jenjang smp/mts kelas viii (delapan) yang menggunakan kurikulum ktsp . 25 cm indeks untuk sekolah menengah pertama kelas viii isbn. Satelit tik untuk smp/mts kelas 8 i hak cipta buku ini pada kementerian pendidikan nasional. Asi smp/mt asi smp/mts kelas viii elas viii. 1 lks tik kelas viii semester 1 rudi susanto, s.si., m.si lembar kerja siswa tik kelas 8 semester 1 ini berisi ringkasan materi, evaluasi dan pengayaa. Kengenal lebih dalam perkembangan computer dan teknologi yang .

Mts nurul yaqin mata pelajaran :

Berikut materi pelajaran bidang studi tik (teknologi informasi dan komunikasi) untuk jenjang smp/mts kelas viii (delapan) yang menggunakan kurikulum ktsp . Viii / delapan materi pokok : Inti materi ipa smp kelas 7,8,9. Mts nurul yaqin mata pelajaran : Kengenal lebih dalam perkembangan computer dan teknologi yang . 1 lks tik kelas viii semester 1 rudi susanto, s.si., m.si lembar kerja siswa tik kelas 8 semester 1 ini berisi ringkasan materi, evaluasi dan pengayaa. Materi tik kelas 8 semester 1. Untuk mengetahui jawabannya pelajari materi ini dengan seksama. Satelit tik untuk smp/mts kelas 8 i hak cipta buku ini pada kementerian pendidikan nasional. 25 cm indeks untuk sekolah menengah pertama kelas viii isbn. Materi tik kelas 8 bab 1 microsoft word. Berikut materi pelajaran bidang studi tik teknologi informasi dan komunikasi untuk jenjang smpmts kelas viii . Asi smp/mt asi smp/mts kelas viii elas viii.

Satelit tik untuk smp/mts kelas 8 i hak cipta buku ini pada kementerian pendidikan nasional. 25 cm indeks untuk sekolah menengah pertama kelas viii isbn. Materi tik kelas 8 bab 1 microsoft word. Untuk mengetahui jawabannya pelajari materi ini dengan seksama. Mts nurul yaqin mata pelajaran :

Berikut materi pelajaran bidang studi tik (teknologi informasi dan komunikasi) untuk jenjang smp/mts kelas viii (delapan) yang menggunakan kurikulum ktsp . Rangkuman Materi Tik Kelas 8 Bab 1 Portal Edukasi
Rangkuman Materi Tik Kelas 8 Bab 1 Portal Edukasi from portaledukasi.org
25 cm indeks untuk sekolah menengah pertama kelas viii isbn. Inti materi ipa smp kelas 7,8,9. Berikut materi pelajaran bidang studi tik (teknologi informasi dan komunikasi) untuk jenjang smp/mts kelas viii (delapan) yang menggunakan kurikulum ktsp . Materi tik kelas 8 semester 1. Berikut materi pelajaran bidang studi tik teknologi informasi dan komunikasi untuk jenjang smpmts kelas viii . Viii / delapan materi pokok : Satelit tik untuk smp/mts kelas 8 i hak cipta buku ini pada kementerian pendidikan nasional. Asi smp/mt asi smp/mts kelas viii elas viii.

Inti materi ipa smp kelas 7,8,9.

1 lks tik kelas viii semester 1 rudi susanto, s.si., m.si lembar kerja siswa tik kelas 8 semester 1 ini berisi ringkasan materi, evaluasi dan pengayaa. Berikut materi pelajaran bidang studi tik (teknologi informasi dan komunikasi) untuk jenjang smp/mts kelas viii (delapan) yang menggunakan kurikulum ktsp . Kengenal lebih dalam perkembangan computer dan teknologi yang . Asi smp/mt asi smp/mts kelas viii elas viii. Berikut materi pelajaran bidang studi tik teknologi informasi dan komunikasi untuk jenjang smpmts kelas viii . Materi tik kelas 8 semester 1. Mts nurul yaqin mata pelajaran : Untuk mengetahui jawabannya pelajari materi ini dengan seksama. Inti materi ipa smp kelas 7,8,9. Viii / delapan materi pokok : Materi tik kelas 8 bab 1 microsoft word. Satelit tik untuk smp/mts kelas 8 i hak cipta buku ini pada kementerian pendidikan nasional. 25 cm indeks untuk sekolah menengah pertama kelas viii isbn.

25 cm indeks untuk sekolah menengah pertama kelas viii isbn. Berikut materi pelajaran bidang studi tik teknologi informasi dan komunikasi untuk jenjang smpmts kelas viii . Materi tik kelas 8 semester 1. Untuk mengetahui jawabannya pelajari materi ini dengan seksama. Berikut materi pelajaran bidang studi tik (teknologi informasi dan komunikasi) untuk jenjang smp/mts kelas viii (delapan) yang menggunakan kurikulum ktsp .

Materi tik kelas 8 semester 1. Ppt Media Pembelajaran Tik Kelas Vii Semester 1 Smp Negeri 19 Bogor Powerpoint Presentation Id 3555436
Ppt Media Pembelajaran Tik Kelas Vii Semester 1 Smp Negeri 19 Bogor Powerpoint Presentation Id 3555436 from image1.slideserve.com
Berikut materi pelajaran bidang studi tik (teknologi informasi dan komunikasi) untuk jenjang smp/mts kelas viii (delapan) yang menggunakan kurikulum ktsp . Viii / delapan materi pokok : Inti materi ipa smp kelas 7,8,9. 25 cm indeks untuk sekolah menengah pertama kelas viii isbn. Materi tik kelas 8 bab 1 microsoft word. Asi smp/mt asi smp/mts kelas viii elas viii. Kengenal lebih dalam perkembangan computer dan teknologi yang . Satelit tik untuk smp/mts kelas 8 i hak cipta buku ini pada kementerian pendidikan nasional.

Materi tik kelas 8 semester 1.

Asi smp/mt asi smp/mts kelas viii elas viii. Berikut materi pelajaran bidang studi tik (teknologi informasi dan komunikasi) untuk jenjang smp/mts kelas viii (delapan) yang menggunakan kurikulum ktsp . Viii / delapan materi pokok : Inti materi ipa smp kelas 7,8,9. Berikut materi pelajaran bidang studi tik teknologi informasi dan komunikasi untuk jenjang smpmts kelas viii . Kengenal lebih dalam perkembangan computer dan teknologi yang . Mts nurul yaqin mata pelajaran : Materi tik kelas 8 semester 1. Untuk mengetahui jawabannya pelajari materi ini dengan seksama. Materi tik kelas 8 bab 1 microsoft word. 1 lks tik kelas viii semester 1 rudi susanto, s.si., m.si lembar kerja siswa tik kelas 8 semester 1 ini berisi ringkasan materi, evaluasi dan pengayaa. Satelit tik untuk smp/mts kelas 8 i hak cipta buku ini pada kementerian pendidikan nasional. 25 cm indeks untuk sekolah menengah pertama kelas viii isbn.

Materi Pelajaran Tik Kelas 8 - Buku Tik Smp Mts Kelas Viii Index Of : 1 lks tik kelas viii semester 1 rudi susanto, s.si., m.si lembar kerja siswa tik kelas 8 semester 1 ini berisi ringkasan materi, evaluasi dan pengayaa.. Inti materi ipa smp kelas 7,8,9. Satelit tik untuk smp/mts kelas 8 i hak cipta buku ini pada kementerian pendidikan nasional. Materi tik kelas 8 semester 1. Kengenal lebih dalam perkembangan computer dan teknologi yang . Materi tik kelas 8 bab 1 microsoft word.

Posting Komentar untuk "Materi Pelajaran Tik Kelas 8 - Buku Tik Smp Mts Kelas Viii Index Of : 1 lks tik kelas viii semester 1 rudi susanto, s.si., m.si lembar kerja siswa tik kelas 8 semester 1 ini berisi ringkasan materi, evaluasi dan pengayaa."